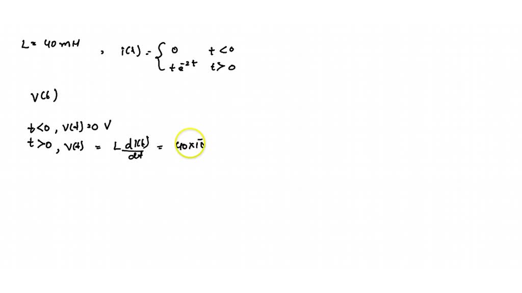
The Current Through a 40-mh Inductor Is
By putting the values. Determine the voltage across the inductor at t13 and 5ms.
Solved The Current Through A 40 Mh Inductor Is I T Left Begin Array Ll 0 T 0 T E 2 T Mathrm A T 0 End Array Right Find The Voltage V T
The power is mW.
. If the current through a 10-mH inductor increases from zero to 2 A how much energy is stored in the inductor. The voltage induced across the coil is. The 400 A current through a 750 mH inductor is switched off in 833 ms.
See the answer See the answer See the answer done loading. L 40 m H. This problem has been solved.
The current through a 40-mH inductor is Find the voltage vt. The current through a 120 mH coil is changing at a rate of 150 mAs. 40 mH Inductors Chokes Coils are available at Mouser Electronics.
L inductance of the inductor. Find the voltage and the power at t 5 s. The current through a 40-mH inductor varies with time according to the graph shown in the Figure below.
Find the voltage and also the energy stored in the inductor for 0. Maximum charge on capacitor Q 45 m C. A Sketch the voltage which develops across the inductor terminals for t 0 assuming the passive sign convention.
The voltage is mV. Determine the voltage across the inductor at. Problem 33 Easy Difficulty.
A t 1 ms b t 3 ms. When the current through an inductor is cut in half the amount of energy stored in the electromagnetic field. The maximum current I given as.
Engineering Electrical Engineering QA Library Problem 3 The current through a 40mH inductor is 0 t0 it te t0 Find the voltage on the inductor. The current through a 40-mH inductor is Find the voltage vt. The current through a 5-mH inductor is shown in Fig.
The current through a 10-mH inductor is shown in the figure below. I t current through the inductor at a given time. What is the emf induced opposing this.
Question 3 10 points The current flowing through a 10 mH inductor has the waveform shown in Figure 1. Find step-by-step Engineering solutions and your answer to the following textbook question. V t L ----------- i Where.
15sin 120t This Inductor Current Calculator calculates the current flowing through an inductor based on the voltage V across the inductor and the inductance L of the inductor. So a maximum current of 250 A corresponds to a reactance of X L 100 V 2. The voltage v t across an inductor is given by.
I 65 A. Mouser offers inventory pricing datasheets for 40 mH Inductors Chokes Coils. Find the voltage and the power at t 3 s.
C 12 m F. Fundamentals of Electric Circuits Solutions Manual EXP-484 The current through a 5-mH inductor is shown in Fig. Solution for The current through a 10-mH inductor is 10e-t2 A.
638 The current through a 40-mH inductor is fo it te 2 A 0 t 0 Find the voltage vt. 50 A 40. Determine the voltage across the inductor at t 1 3 and 5 ms.
A 40 mJ b 20 mJ c 10 mJ d 5 mJ. The formula which calculates the inductor current based on these input parameters is I 1LVdt where I is equal to the current flowing through the inductor L. I 45 x 10³ x 14433 A.
ω angular frequency. What is the average induced emf e during the time intervals a 0 to 40 ms b 40 ms to 60 ms c 60 ms to 10 ms d 10 ms to 12 ms and e 12 ms to 18 ms. The current through a 40-mH inductor is 0 for t 0 and te-2t A for t 0 Find the voltage vt.
The current through a 40-mH inductor is. Sadiku Rent Buy. The current through a 40-mH inductor isFind the voltage v t.
360 textrm V Solution Video. Fundamentals of Electric Circuits 3rd Edition Edit edition Solutions for Chapter 6 Problem 38P. 0 Ω 1162 The angular frequency in this case is equal to ω X L L 40.
It leftbeginarrayll0 t0endarrayright. The current through a 40 -mH inductor is itleftbeginarrayll 0 t0 endarrayright Find the voltage vt. Fundamentals of Electric Circuits 3rd Edition Edit edition Solutions for Chapter 6 Problem 40P.
The current through a 10-mH inductor is 10e-12 A. 8 points b Calculate the voltage at t 1 ms. The inductance of an iron-core coil decreases if.
The current through a 12 -mH inductor is 4 sin 100 t A. Find step-by-step Engineering solutions and your answer to the following textbook question. Find the voltage and also the energy stored in the inductor for 0 t 200 s.
ω 14433 rad¹. Question by OpenStax is licensed under CC BY 40. 0424 H 943 s-1 1163 Chapter 33 Problem 14 A 200 mH inductor is connected to a North American electrical outlet Δ V rms 120 V f 60.
The current through a 12-mH inductor is 4 sin 100t A. Find the voltage vt. From the displacementtime graph shown in Figure 188 determine the amplitude period.
OpenStax College Physics Solution Chapter 23 Problem 57 Problems Exercises 035 Sign up to view this solution video.
What Are The Magnitude And Direction Of The Magnetic Field At Point P W Magnetic Field Directions Field
Solved Problem 1 50 Points The Current In A 20 Mh Chegg Com
Solved 6 40 The Current Through A 5 Mh Inductor Is Shown In Chegg Com
Choke Heavy Current Chassis Mount Single Coil 40mh 6a 195 Series In 2022 Inductors Inductor Current
Calculate The Final Speed Of The Electron In M S Em Field And Photons Electrons Scientific Notation Electric Field
What Is The Magnitude Of The Current In The Wire Current Magnetic Field Wire
Solved The Current Through A 40 Mh Inductor Is I T Left Begin Array Ll 0 T 0 T E 2 T Mathrm A T 0 End Array Right Find The Voltage V T
What Is The Wavelength Of The Light From The Second Source Em Field A Diffraction Grating Ems Field
What Is The Magnitude Of The Current In The Wire Current Magnetic Field Wire
Solved The Current Through A 40 Mh Inductor Varies With Time Chegg Com
Solved Problem 2 40 Points The Current In 50 Mh Inductor Chegg Com
A 40 Ohm Resistor 3 Mh Inductor And 2 Mu F Capacitor Are Connected In Series To A Youtube
Solved A The Current Flowing Through A 10 Mh Inductor Is Chegg Com
Solved Problem 12 The Current Through A 40 Mh Inductor Is 0 Chegg Com
A Capacitor A Resistor And A 40 Mh Inductor Are Connected In Series To An A C Source Youtube
Solid State Relay Circuit Eleccircuit Com Arduino Electronic Circuit Projects Electronics Projects
Openstax College Physics Solution Chapter 23 Problem 95 Problems Exercises Openstax College Physics Answers
Solved 6 38 The Current Through A 40 Mh Inductor Is Fo I T Chegg Com

Comments
Post a Comment